Con la crescente esposizione alla luce blu, all'inquinamento ambientale e allo stress ossidativo, proteggere le cellule umane dai danni dei radicali liberi è diventato fondamentale. Tra tutti gli antiossidanti naturali, l'idrossitirosolo (CAS 10597-60-1) ha attirato l'attenzione della scienza per il suo duplice potere antiossidante.
In questo post del blog, Viablife , produttore di idrossitirosolo liquido ad alta purezza, condividerà il duplice meccanismo antiossidante dell'idrossitirosolo antiossidante in vendita e i suoi effetti sinergici strutturali e di percorso.
Efficacia antiossidante: doppia convalida in vitro + in vivo
Studi in vitro: l'idrossitirosolo protegge le cellule dallo stress ossidativo della luce blu
Gli esperimenti cellulari simulano una delle fonti più comuni di stress ossidativo moderno: l'esposizione alla luce blu dei LED. Quando i cheratinociti e i fibroblasti umani vengono irradiati con luce blu, subiscono un'impennata nella produzione di specie reattive dell'ossigeno (ROS), che porta all'ossidazione cellulare, alla degradazione del collagene e all'accelerazione del fotoinvecchiamento.

In questi esperimenti, il trattamento con l'antiossidante idrossitirosolo ha soppresso significativamente la sovrapproduzione di ROS e ha protetto il collagene cellulare dalla degradazione. La risposta è stata dose-dipendente: concentrazioni più elevate di idrossitirosolo corrispondevano a una maggiore inibizione delle ROS.
Questa scoperta significa che l'idrossitirosolo non si limita a neutralizzare i radicali liberi, ma *previene* efficacemente le reazioni ossidative a catena causate dallo stress indotto dalla luce. Sottoposte a esposizione simulata a luce LED, le cellule cutanee trattate con idrossitirosolo hanno mantenuto la loro integrità strutturale e hanno resistito ai danni ossidativi, dimostrando il suo forte potenziale antiossidante in vitro.
In breve, l'idrossitirosolo agisce come uno scudo per le cellule della pelle e del derma, combattendo i danni ossidativi nascosti generati dalle fonti di luce digitale di uso quotidiano: una scoperta direttamente rilevante per le formulazioni cosmetiche e per la cura della pelle topica contenenti idrossitirosolo liquido.
Studi in vivo: rafforzare le difese naturali della pelle
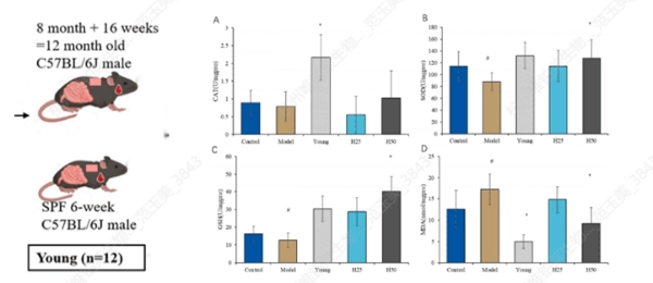
Oltre alla capsula di Petri, gli esperimenti su modelli animali forniscono prove convincenti *in vivo*. In un modello di invecchiamento ossidativo cutaneo indotto da AGE (prodotti finali della glicazione avanzata), i topi trattati con idrossitirosolo hanno mostrato un'attività enzimatica antiossidante notevolmente migliorata.
I livelli di SOD (superossido dismutasi) e GSH-Px (glutatione perossidasi) sono aumentati significativamente, mentre l'MDA (malondialdeide), un marcatore della perossidazione lipidica, è diminuito. Questi risultati indicano che l'idrossitirosolo non solo agisce direttamente come scavenger di radicali liberi, ma potenzia anche il sistema antiossidante interno dell'organismo.

Questa duplice azione ha ridotto lo stress ossidativo nei tessuti e ripristinato l'omeostasi cutanea. In parole povere, l'idrossitirosolo ringiovanisce la capacità antiossidante dall'interno, un risultato che ne convalida l'efficacia sistemica in vivo.
Nel complesso, gli studi su cellule e animali confermano che l'attività antiossidante dell'idrossitirosolo è sia biochimicamente potente che biologicamente significativa, costituendo la base delle sue applicazioni ad ampio raggio.
Doppio meccanismo antiossidante interno: struttura + sinergia del percorso
Vantaggio strutturale: il gruppo fenolico orto-diidrossi
Le straordinarie prestazioni antiossidanti dell'idrossitirosolo derivano dalla sua struttura orto-diidrossi (catecolo). Questa disposizione unica consente all'idrossitirosolo di donare atomi di idrogeno in modo efficiente, interrompendo le reazioni a catena dei radicali liberi e stabilizzando le specie reattive.
Dati comparativi mostrano che i composti di tipo catecolo con questa struttura hanno una capacità di neutralizzazione dei radicali molto più elevata rispetto a quelli che ne sono privi. Nel caso dell'idrossitirosolo, ciò significa che può neutralizzare direttamente i radicali idrossilici, i radicali superossido e il perossinitrito, che sono tra gli agenti ossidanti più dannosi nei sistemi biologici.
Questo vantaggio strutturale spiega la sua superiore soppressione *in vitro* dei ROS indotti dalla luce blu. La capacità di bloccare i radicali alla fonte conferisce all'idrossitirosolo un effetto protettivo immediato, costituendo la prima linea di difesa antiossidante.

Regolazione del percorso: attivazione della rete di difesa cellulare Nrf2
Il secondo meccanismo è cellulare e adattativo. L'idrossitirosolo non si limita a eliminare i radicali: attiva anche la via di segnalazione Nrf2, che orchestra il sistema di difesa antiossidante a lungo termine dell'organismo.

Dopo il trattamento con idrossitirosolo, Nrf2 (fattore nucleare eritroide 2-correlato) si trasloca nel nucleo cellulare e si lega agli elementi di risposta antiossidante (ARE) nel DNA. Questa attivazione innesca l'espressione di enzimi antiossidanti e detossificanti, tra cui SOD, GPx, GR (glutatione reduttasi) e GST (glutatione S-transferasi).

La ricerca mostra che nelle cellule trattate con idrossitirosolo, i livelli nucleari di Nrf2 aumentano mentre quelli citosolici diminuiscono, confermando il successo dell'attivazione e della traslocazione. Di conseguenza, le attività enzimatiche di GPx, GR e GST risultano tutte significativamente elevate.
Questa attivazione di Nrf2 riduce la generazione di ROS e migliora la capacità della cellula di resistere allo stress ossidativo, garantendo una protezione antiossidante duratura anche dopo l'esposizione iniziale ai radicali.
L'idrossitirosolo, quindi, svolge due meccanismi complementari:
1. Neutralizzazione immediata dei radicali grazie alla sua struttura catecolica.
2. Attivazione antiossidante endogena tramite segnalazione Nrf2.
Questa sinergia (struttura + percorso) crea una difesa antiossidante robusta e multistrato, a differenza della maggior parte degli antiossidanti convenzionali che si basano su un singolo meccanismo.
Qualità scientifica dietro l'idrossitirosolo: approfondimenti su fornitori e produzione
Un approvvigionamento affidabile è fondamentale per tradurre i risultati di laboratorio in prodotti efficaci. Il fornitore di idrossitirosolo Viablife è un produttore riconosciuto a livello mondiale, noto per la sua tecnologia di fermentazione di precisione e di estrazione biologica.
In qualità di produttore di idrossitirosolo, Viablife garantisce purezza costante, elevata stabilità e standard di produzione tracciabili in tutti i lotti. La sua formulazione liquida di idrossitirosolo semplifica l'integrazione in sieri per la cura della pelle, bevande nutrizionali o integratori alimentari senza comprometterne l'efficacia.
Per i marchi o i formulatori che cercano idrossitirosolo in vendita, Viablife fornisce non solo materiali sfusi, ma anche supporto tecnico, guida alla formulazione e documentazione normativa. Questa trasparenza scientifica contribuisce a collegare ricerca e commercializzazione, facilitando lo sviluppo di prodotti antiossidanti di nuova generazione basati su un'efficacia verificata.
Dal laboratorio alla vita: applicazioni pratiche dell'antiossidante idrossitirosolo
Grazie alla sua duplice validazione e ai meccanismi sinergici, l'idrossitirosolo è diventato un ingrediente versatile in molteplici settori:
* Cura della pelle e cosmetici: previene il fotoinvecchiamento ossidativo, protegge il collagene e lenisce lo stress della luce blu nelle formulazioni topiche.
* Alimenti e bevande funzionali: l'idrossitirosolo liquido arricchisce bevande e integratori con attività antiossidante naturale.
* Nutraceutici: supportano la salute cardiovascolare e neurologica attraverso il controllo sistemico delle ROS.
* Ricerca farmaceutica: in fase di studio per l'infiammazione cronica, i disturbi metabolici e neurodegenerativi legati al danno ossidativo.
La sua comprovata capacità di ripristinare l'equilibrio antiossidante sia esternamente che internamente posiziona l'idrossitirosolo come un bioattivo di nuova generazione per una protezione olistica.
Conclusione
Dai test cellulari *in vitro* ai modelli animali *in vivo*, l'idrossitirosolo antiossidante dimostra costantemente la sua capacità di combattere lo stress ossidativo, ridurre le ROS e migliorare la difesa enzimatica. Il suo duplice meccanismo antiossidante – un potente nucleo strutturale di rimozione dei radicali liberi e l'attivazione del pathway di difesa Nrf2 – garantisce una protezione completa, dai livelli molecolari a quelli sistemici.
Supportato dalla ricerca e prodotto con precisione dal fornitore di idrossitirosolo Viablife, questo composto naturale esemplifica come la moderna biotecnologia e la comprensione molecolare convergano per offrire benefici tangibili per la salute e la bellezza.
Che si tratti di prodotti per la cura della pelle, di nutrizione o di formulazioni avanzate per il benessere, l'idrossitirosolo rappresenta un punto di riferimento per il futuro degli antiossidanti bioattivi: scientificamente provati, strutturalmente potenti e biologicamente intelligenti.
cinese
Stati Uniti
Spagna
Russo
Francia
Germania
Italiano
Giappone
Arabo
Portoghese
Coreano
Tailandese
Greco
India




Leave a Message